L-Citrullin-Alpha-Ketoglutarat 1:1 ist am Stoffwechsel der Aminosäuren beteiligt. Es ist auch wichtig für die Beschleunigung des Stickstofftransports im Körper und die effiziente Beseitigung von Ammoniak als Harnstoff im Krebs-Harnstoff-Zyklus. Dadurch wird das Risiko von Muskelkater auch nach intensiven Aktivitäten verringert. Dieses Präparat unterstützt die Herzfunktion, reguliert den Blutdruck und den Zuckerspiegel. Es ermöglicht ein längeres und intensiveres Training. Nach dem Training verkürzt es die Regenerationszeit.
L-Citrullin-Alpha-Ketoglutarat 1:1
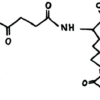
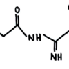
L-Citrullin-Alpha-Ketoglutarat 1:1 ist ein Molekül, das aus einem Derivat des Glutarsäuremoleküls und Citrullin, einem Ornithin-Derivat, gebildet wird. Es ist ein wichtiger Zusatzstoff in Prä- und Post-Workout-Präparaten. Es hat eine antikatabole Wirkung.
Dystrybutor hurtowy.
Dostawa na cały świat.
PRODUKT NICHT VERFÜGBAR
Wir warten derzeit auf die Lieferung dieses Rohstoffs. Senden Sie eine E-Mail an: kontakt@naturalpoland.com um benachrichtigt zu werden, wenn dieses Produkt verfügbar ist.
Produktbilder dienen nur zur Veranschaulichung. Das tatsächliche Aussehen der Produkte kann von den Bildern abweichen.
Beschreibung
Sie haben das gesuchte Produkt nicht auf unserer Website gefunden?
Kontaktieren Sie uns und wir werden versuchen, dieses Produkt in kürzester Zeit zu liefern.Unsere Mitarbeiter suchen in jedem Ort der Welt, um unsere Kunden auch mit den exotischsten Rohstoffen zu versorgen.
Ähnliche Produkte
Aminosäuren
Aminosäuren
Aminosäuren
Aminosäuren





